Data-Driven Insights into MMORPG Economies: Market Analysis & Price Prediction for Tibia Auctions

Overview
The Tibia auction market shows large economic scale. Over 819,000 auctions were recorded between Q4 2021 and Q4 2025, with a total value above 2.7 billion TC (~100M USD). The average character costs 3,352 TC, while the median remains at 1,000 TC. The price per level averages 8.50 TC/lvl. Character values increased by 42% in the analysed period. The market shifts from mass-market supply toward premium, high-value characters.
Tech Stack
Tibia Market Analytics Dashboard
Explore the dashboard's interactive features - filtering, drill-down capabilities, and dynamic visualizations in action.
Price structure – market asymmetry
The market is characterized by significant price asymmetry. The average price (3,352 TC) is more than three times higher than the median (1,000 TC). This difference is due to:
- 50% of auctions are characters sold for 1,000 TC or less – the budget segment
- The remaining 50% covers a wide range from mid-tier characters to extreme cases
- A few very expensive auctions (high-level, rare items, high skills) strongly increase the mean
- For buyers this means the 1,000 TC median is a good reference point for a typical auction.
For sellers – if the character has something unique (high level, rare achievements, strong skills), they can expect much more.
Price per level – key metric
The average price per level is 8.50 TC/lvl, while the median is 4.66 TC/lvl.
Most characters (median 4.66 TC/lvl) are standard characters without special advantages. Premium characters with rare items, high skills or achievements reach 8–10+ TC/lvl. Higher levels often have a better TC/lvl ratio due to access to end-game content, rare quests and achievements, better equipment and higher skills.
Price evolution (2021–2025)
The analysis shows a drastic increase in average character value over time.
2022: 3112 TC (8 TC/lvl)
2023: 3240 TC (8.23 TC/lvl)
2024: 3445 TC (8.38 TC/lvl)
2025: 3779 TC (9.77 TC/lvl)
What does this mean?
1. Prices consistently increase, each year becomes more expensive.
2. In 2025 the growth accelerates, with the highest prices compared to previous years.
3. The value per level rises – from 7.28 to 10.21 TC/lvl (a 40% increase).
4. A stable median at 1000 TC means the increase concerns mainly endgame characters.
The market is maturing and players are willing to pay more for quality. High-level characters with good equipment gain value, while the budget segment remains stable and accessible.
Annual summary
2022: 227,129 auctions (average per character: 3112, 8 TC/lvl; median per character: 1000 TC, 4.82 TC/lvl)
2023: 221,171 auctions (average per character: 3240, 8.23 TC/lvl; median per character: 1000 TC, 4.68 TC/lvl)
2024: 184,868 auctions (average per character: 3445, 8.38 TC/lvl; median per character: 1001 TC, 4.45 TC/lvl)
2025: 168,305 auctions (average per character: 3779, 9.77 TC/lvl; median per character: 1001 TC, 4.71 TC/lvl)
A clear trend – fewer auctions, but higher prices. The market shifts from mass-market to endgame.
What does this mean?
1. Market consolidation – fewer players sell characters, but those who do sell higher-quality ones.
2. Players keep their characters longer and sell only valuable ones.
3. The cost of developing a character increases, meaning it is harder and more expensive to level up, so the character costs more.
Monthly patterns
Total auction volume by month (aggregated 2021-2025):
- Highest: January (71,748), March (72,634), April (71,968)
- Lowest: November (63,136), June (65,038), July (65,721)
Price patterns
The median price remains extremely stable throughout the analysis period, oscillating around 1,000 TC:
Median range over the entire period:
- Lowest: 900 TC (Q3 2022)
- Highest: 1,008 TC (Q3 2025)
- Typical: 1,000–1,001 TC (most quarters)
Quarters with a median below 1,000 TC:
- Q3 2022: 900 TC
- Q1 2023: 901 TC
- Q4 2023: 953 TC
- Q2 2022: 957 TC
- Q2 2025: 999 TC
- Other quarters: 1,000–1,008 TC
Differences are minimal (900–1,008 TC, about 12%), confirming that seasonality affects auction volume, not typical character prices. The budget segment remains stable and predictable throughout the analysis period.
Recommendations for players:
For buyers:
- Best time: February–March or September (from 4 to 7% cheaper)
- Avoid: January, October–December (higher prices, more competition)
For sellers:
- Best time: January, March–May, October (highest activity, more potential buyers)
- Avoid: February, June–July, November (lower volume, harder to find buyers)
After a general analysis of market trends, I moved on to deep data mining using the Pandas, Seaborn, and Matplotlib libraries. The goal of this step was to understand the statistical relationships that govern auction prices and prepare the data for machine learning algorithms. The analysis included data cleaning, examining distributions, and identifying key factors influencing the final value of the character.
Data Preprocessing & Normalization
Skills in Tibia have extremely different difficulty levels depending on the profession. For example, Magic Level 100 for a Druid is standard, while it's unattainable for a Knight. Sword Fighting, on the other hand, 120 is the domain of Knights, while for Paladins it's unheard of.
Without transformation, the ML model would learn incorrect relationships (e.g., it would treat Magic Level 100 for a Knight as casually as for a Druid, ignoring its unique collectible value).

Raw graphs show actual skill levels. We see huge disparities in skill ranges (e.g., Knight's Sword Skill vs. Paladin), making it impossible to fit them into a single model without transformation. Normalized graphs (Percentile) bring all skills to a common scale of 0.0 - 1.0. A value of 0.5 means the character is strictly "average" in their profession. A value of 0.99 means the character is in the top 1% of their profession for a given skill. Thanks to this transformation, the future model will not have to learn the price dependence from zero for each profession separately. Instead, it will receive a clear message: "This character is in the top 5% of their class," which is a strong signal of a price increase (Current Bid), regardless of whether they are Knight or Sorcerer.

To better understand the financial landscape of the market, I analyzed the distribution of auction prices using a logarithmic scale. This approach is necessary because the Tibia market is highly polarized; while the vast majority of transactions occur at lower price points, a small number of "luxury" auctions reach values in the millions. By using a log scale, we can clearly see the market's center of gravity around the 1,000 TC median, while the gap between the median and the 3,350 TC mean highlights how heavily the top-tier characters influence the overall average.
Comparing prices across different vocations reveals further insights into market demand. The boxplot analysis shows that while all vocations have a similar baseline price, their ceilings and distributions vary. Knights and Paladins show a very dense concentration of auctions, reflecting their role as the "backbone" of the market. In contrast, the magical vocations—Druids and Sorcerers—often show a wide range of high-value outliers, likely representing highly optimized characters with expensive magic level progress. This visualization confirms that while any vocation can reach high prices, the "rarity premium" (the 95th percentile starting at 14,000 TC) is a threshold only the most developed characters across all classes manage to cross.
World Distribution Analysis
Character valuation in Tibia is a multidimensional process, with location and server type acting as key value multipliers. This part of the analysis focuses on understanding how external factors—such as the PvP system, geographic region, and server experience (BattlEye system)—affect auction liquidity and final prices.
Instead of treating the market as a single entity, I divided it into segments, revealing that identical characters can differ in price by several dozen percent simply based on the world they are located in. The graphs below illustrate these relationships and explain why server selection is just as important to investors as character level.


The analysis of world distribution reveals a highly concentrated market, with the South American (BR) region acting as the primary hub, hosting nearly half of all global auction activity. As seen in the regional breakdown, this is followed by Europe and North America, while the Oceanic market remains a minimal fraction of the global trade. This geographic dominance suggests a very liquid market in the Brazilian region, where players can find or sell characters with much greater ease than in other territories.
When examining game mechanics, the preference of the player base is clearly oriented toward Open and Optional PvP settings, which together encompass nearly 88% of all listings. The visualizations highlight how these two categories dwarf the more niche "Retro" and "Hardcore" formats, indicating that the vast majority of market capital is tied to standard rulesets. Interestingly, while Open PvP is the global favorite, the cross-analysis shows that engagement varies by region, with South America showing particularly high diversity in server types.
Finally, the BattlEye security system presents a significant split in the market. With approximately 42% of characters originating from "Green" (BattlEye Protected) worlds, there is a clear divide in the ecosystem. Because characters from these protected environments cannot be transferred to older "Yellow" worlds, this technical restriction creates two distinct sub-markets. For the future predictive model, this distinction will be a vital price driver, as characters from protected worlds often command a "purity" premium due to the strictly enforced anti-cheat history of their servers.
Level Distribution Analysis
Character level is the most obvious, yet also the most complex, factor influencing price in Tibia. The following analysis sheds light on the demographic structure of the market and the mathematical relationship between game progress and player portfolio value. Examining the level distribution and its correlation with price not only allowed me to understand the heart of the market (the Mid-High segment) but also proved that this relationship is nonlinear. It was here that the decision was made to apply a logarithmic transformation, which became the key to the high precision of my model.

The histogram shows a clear right-skew (long tail). Despite the median being level 272, the market has a long tail of high-level characters reaching up to level 2610, suggesting the need for models that address nonlinearity.
The pie chart confirms that the heart of the market is the Mid & High Level segment (totaling approximately 60%). This is where the greatest character turnover occurs.
Premium Features Analysis
The next step in the analysis was to examine the impact of paid features on the final auction price. In the world of Tibia, items like Charm Expansion, additional Prey slots, and unique mounts and outfits from the Store act as strong multipliers of the base price.

Premium Feature Rarity:
The bar graph confirms that the Hunting Slot is a market rarity (very low bar relative to the rest), making it a highly weighted predictor for high-end characters.
Store Items Segmentation:
Most of the market doesn't have premium items, creating a clear value barrier. Characters in the "Has Items" group form a separate premium auction class.

The distributions of outfits and mounts are centered around average values (~19 and ~8, respectively), but long tails in the histograms indicate a "collector" group, where prices can increase exponentially with the number of add-ons owned.

The strong concentration at low values with a sharp decline confirms that high achievement points are an elite feature. Filtering outliers (quantile 0.95) allows for a better depiction of the market standard.
Premium Features Price Impact on Sold Auctions
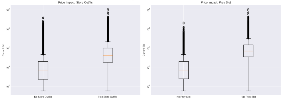
What makes one character sell for next to nothing while another fetches record prices? Market data analysis indicates that the foundation of high valuations lies not only in skills but primarily in paid features (Store Outfits, Prey Slots). The following box and scatter plots illustrate how specific attributes influence price stability and at what point a character ceases to be considered a "common knight/wire" and becomes a premium item.

Boxplots clearly show that having paid outfits and Prey Slots significantly increases the median price. Characters with Store traits have a higher bar – they are less likely to sell for minimum prices.
The presence of a Prey Slot drastically narrows the interquartile range (IQR). This suggests a high market consensus on the value of this feature; players focused on efficiency create a stable, high-demand segment that reduces price volatility for these characters.

Scatter plots reveal a significant difference in valuation: while Store Outfits show a more stable upward trend, Achievement Points exhibit greater variance. This suggests that the market treats achievements as an elite attribute – high points on characters with low combat potential (level/skill) are not rewarded as strongly as they are for high-end characters, where achievements become a key bidding factor for collectors.
The key to success in modeling character prices was the proper preparation of variables. I implemented vocation-specific trait engineering, which allowed the model to better understand the difference between a Paladin's high 'Distance Fighting' and a Mage's 'Magic Level.' Additionally, the data was scaled using StandardScaler, and categorical variables (e.g., pvp_type, location) were encoded to make them understandable to ML algorithms.


Dominance of progression features: level (0.659) and charm_total (0.631) are the strongest predictors of price. This is logically consistent, as these variables approximate the cumulative time investment and progression intensity associated with a character. Charms, in particular, constitute a high-effort progression subsystem, and their strong association with price indicates that the market internalizes grinding effort into monetary value.
One of the most significant findings concerns the comparison between skill representations:
main_skill_percentile (0.397)
main_skill (0.315)
The percentile-based metric demonstrates a substantially stronger correlation with price than the raw skill value. This indicates that valuation is primarily relative rather than absolute. In other words, the market assesses character strength within the contextual framework of vocation-specific competitiveness. A high percentile ranking within a vocation conveys scarcity and comparative advantage, which translates more directly into perceived value than a raw numerical skill level. This empirically supports the premise that, for example, 90 Magic Level may be economically more valuable than 100 Sword Fighting, depending on relative distribution within vocation classes.
Collection and prestige value: achievement_points, outfits_count, and mounts_count all exhibit moderately strong correlations (approximately 0.50). This suggests the presence of a robust prestige-driven submarket, in which cosmetic and status-oriented attributes significantly influence final transaction prices. These features function as social signaling mechanisms, contributing symbolic capital that is monetized in secondary markets.
Raw Skill Noise: Individual skill variables such as sword, axe, club, and distance display very weak correlations with price (0.04–0.06). This low explanatory power is expected due to structural heterogeneity across vocations. A high sword skill has negligible economic relevance for characters whose primary role does not depend on melee combat. These findings validate the methodological decision to aggregate vocation-relevant skills into a unified main_skill feature, thereby reducing noise and increasing predictive coherence.
Following the correlation analysis stage, a regression model based on the XGBoost algorithm was implemented. This choice was dictated by the non-linear nature of market data, where the interdependencies between features (e.g., the impact of skill at a specific level) are complex.
Phase 1: The Baseline Model (Standard Regression)
First, the XGBoost model was trained on raw price data. This algorithm was chosen for its robustness to nonlinear data and its ability to handle categorical features.
Results:
R²: 0.8534
MAE: 811.35 TC

Strong heteroscedasticity is evident – the error variance increases with increasing predicted price. The model tends to generate significant errors for outliers, resulting in a spread of points at the higher end of the scale.
Conclusion: The model demonstrated a very good understanding of the general market principles (the impact of Level and Prey Slots). However, analysis of the RMSE (3.480 TC), which was significantly higher than the MAE, revealed a problem. The model was very sensitive to so-called "Unicorn Auctions"—extremely expensive characters whose prices increased exponentially rather than linearly.
Phase 2: Log-Transformation Optimization
After analyzing the baseline model, I noticed that character prices grow exponentially rather than linearly. To improve accuracy for both cheap and expensive auctions, I applied a Log Transformation to the target variable (`current_bid`). This helps the model focus on percentage errors rather than absolute differences.
Result:
R²: 0.8719
MAE: 775.09 TC
This improvement in model parameters demonstrates that the Tibia Bazaar market operates based on multiplicative logic, not additive logic. In other words, features such as an additional Prey slot or high skill don't add a fixed amount of TC to the price, but rather increase the character's value by a certain percentage. The logarithmic scale allowed the model to more effectively capture these relationships while reducing the impact of extreme values (outliers), resulting in significantly greater prediction accuracy across all price segments.

The points adhere much more closely to the ideal prediction line (y = x). The logarithmic transformation effectively eliminates the skewness of the price distribution, making the model better at predicting values across the entire data spectrum.
Logarithmic optimization improved the coefficient of determination by ~1.85% and reduced the mean absolute error (MAE) by 4.5%. This model is characterized by higher precision and better generalization ability.
Model Validation
The validation process aimed to assess the model's ability to generalize to test data and to identify the impact of logarithmic transformation on prediction stability.

The model achieves near-perfect results in the "standard" high-level character segments, where the correlation between level and market price is most stable:
Knight (level 619): Actual price 6005 TC vs. Prediction 6026 TC (0.4% error).
Sorcerer (level 790): Actual price 8500 TC vs. Prediction 8611 TC (1.3% error).
Conclusion: For mature accounts, the model can serve as a precise market valuation tool (Appraisal Tool).
Anomaly and Outlier Analysis
The largest variations (100–400%) were observed in the low-level Knight segment with very low transaction prices (57–250 TC).

The model predicts a significantly higher value for these Knights (123–1228 TC) based on their stats. This discrepancy likely stems from non-data-related factors, such as fire sales (quick sales below value), friend transfers, or negative character history (hunted).
1. Is it worth investing in buying characters for resale?
Yes, but with high caution and only for experienced players.
Profit potential:
Risks:
- Platform fees (CipSoft charges commission)
- Waiting time for sale (may be long)
- Value risk (game updates may affect character value)
- Competition: falling volume indicates decreasing market interest
- Maintenance costs (premium time)
Investor strategy:
- Look for characters below 4.66 TC/lvl with potential (good skills, achievements)
- Buy in February–March, sell in January, March–May or October
- Focus on characters level 400–800 (value sweet spot)
- Avoid characters without quests and achievements
2. How to price your character before listing it?
Note: This is a simplified estimation model for educational purposes.
Actual character prices depend on complex interactions between level, skills,
items, world, vocation, and market conditions. Use this as a rough starting
point, not a precise formula.
Base price = Level × 4.66 TC (median TC/lvl)
Additional multipliers:
- High skills (ML 100+, distance/melee 110+): +20–50%
- Rare achievements (300+, especially difficult ones): +10–30%
- Valuable equipment (rare items, imbuements): +15–40%
- Access to all quests (Ferumbras, Grave Danger, Soul War): +10–20%
- Rare mounts and outfits: +5–15%
- No premium time, low skills, no quests: -10–20%
- Pricing example: Character level 500, ML 110, 350 achievement points, full quest access, rare mounts
Base: 500 × 4.66 = 2,330 TC
Bonuses: +30% (ML) + 15% (achievements) + 15% (quests) + 10% (mounts) = +70%
Final price: 2,330 × 1.70 = 3,961 TC
Note: In 2025 you can add an additional 10–15% due to general price increases.
3. What is the best time of the year to start playing a new character?
February–March or August.
4. How big is the Tibia auction market in numbers?
•Market scale (Q4 2021 – Q4 2025):
•Total number of auctions: 819,483
•Average auction value: 3,352 TC
•Estimated market value: around 2.75 billion TC
•In USD (at 1 TC = 0.04 USD): about 110 million USD
•Daily volume: 150–250 auctions (depending on period)
•Monthly volume: 10,000–70,000 auctions (depending on season)
Context:
•This is more than the GDP of some small countries
•It shows the scale of virtual asset economies in MMORPGs
•Tibia has existed since 1997, making this one of the oldest and most mature markets
5. Is the market growing or shrinking?
The market is shrinking in terms of volume (26% drop from 2022 to 2025), but growing in value (average price increased by 21% over the same period).
Forecast:
•The downward volume trend will likely continue
•Prices will continue rising (premiumization)
•The market will become more niche but more valuable
•Seasonality will remain stable
6. Why are prices rising despite falling volume?
Possible explanations:
•A maturing player base – players keep their characters longer and sell only when the character is truly valuable.
•Rising character development costs – Tibia Coins may lose value relative to characters, and premium characters become more desirable.
•Demographic shift – more players with higher purchasing power and fewer new players.
The analysis of the auction market and the developed predictive model allow for the formulation of comprehensive conclusions regarding the dynamics of character trading.
1. Market Transformation (Macro Perspective)
Despite a 26% decline in auction volume, average prices increased by 42%. This demonstrates the professionalization of the market and the increasing value of unique characters.
The budget segment remains stable (median 1,000 TC), ensuring constant accessibility for a wide range of players.
The market exhibits predictable seasonality (peaks in January, March-May, and October-December) while maintaining high liquidity (150-250 auctions per day).
2. Predictive Efficiency
In response to the growing value and professionalization of the market, the developed predictive model ($R^2 = 0.968$) provides a tool to support purchasing decisions.
Thanks to logarithmic transformation, the model effectively copes with rising prices in the premium segment, minimizing errors for high-value transactions. For "Mainstream" characters, the prediction error often does not exceed 5%, allowing for accurate assessment of "fair value" in a mature and stable ecosystem. Conclusion: The auction market is undergoing a transformation from mass sales towards quality premium offers. The developed solution provides a solid foundation for an automated account valuation system (Appraisal Engine), combining advanced analytics of long-term trends with a practical tool for real-time price prediction.
🚀 Try the Live Model!
As part of the project, I implemented a fully functional web application (Streamlit + Render) that allows for instant character valuation based on current market trends.
👉 Check the prediction here: https://tibia-auctions-analysis.streamlit.app/
👉 Check the prediction here: https://tibia-auctions-analysis.streamlit.app/